Conducting explorative analysis on the numerical data. Mainly focuses on looking at changes in study habits reflected in study times. All the EDA notebooks are attached in here.

Temporal Analysis:

From the first plot, we are looking at some overall temporal trend and how my study hours flunctuate in different week days, different quarters, and different years. Looks like study time overall increases since Freshman. I have my demo notebook provided here.

The monthly pattern in the second plot is consistent for each year where summer time has significantly less work loads and th erest flunctuates about the same.

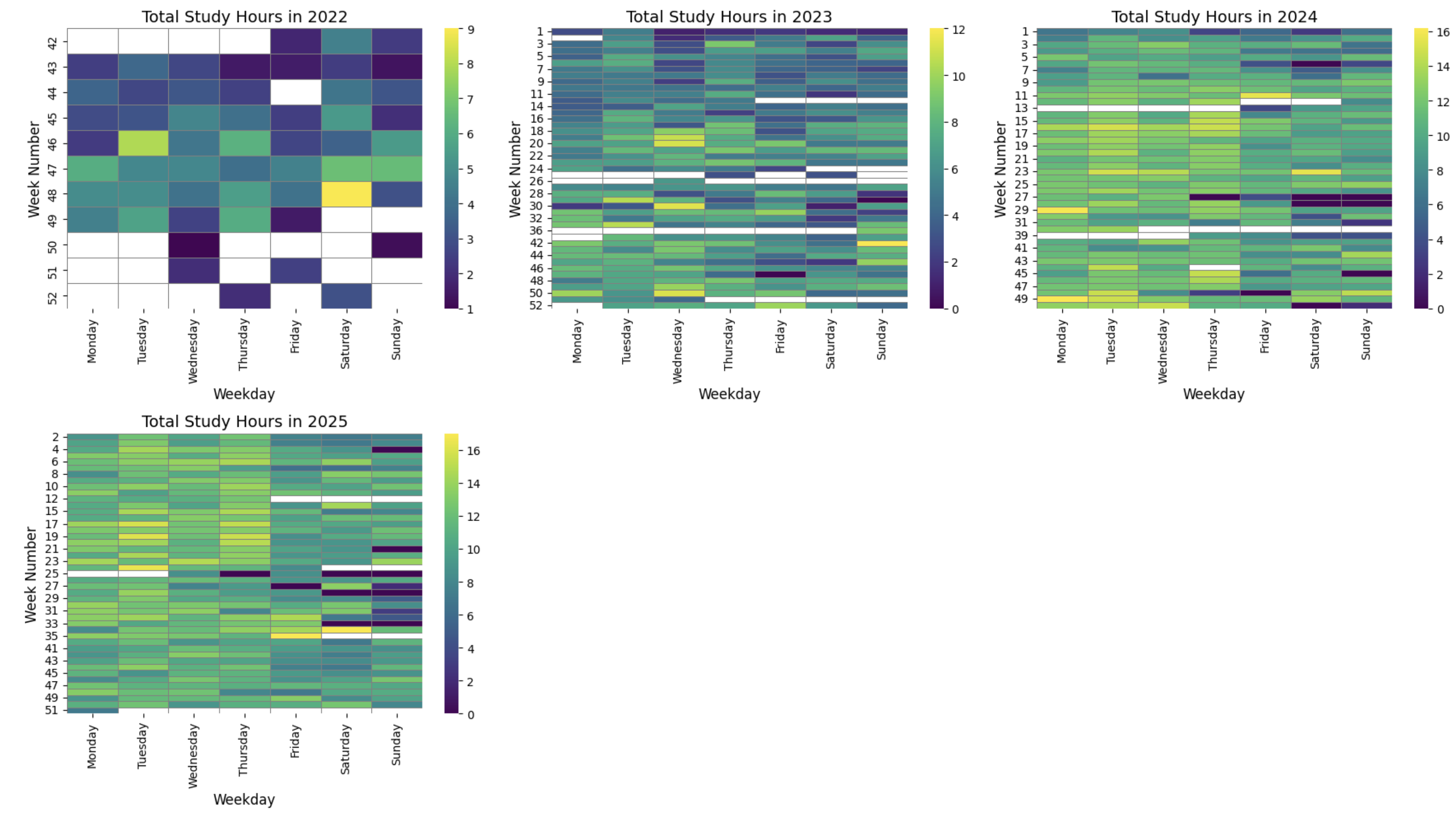
We can also examine how study hours changes as a function of week-days and week-number examine seperately by each year.

  • Seems to be the busiest around week 30.
  • Seems to be usually busy aorund Tuesday and Wednesday and chilling on the weekend.

At last, let's look at each season's effect on study times by using a heatmap. We can see that there is an overall increase in study time over the years and the longest cumulative study time seems to be at Fall and Spring quarter (busiest quarters).

Projections

Using projection technique, we can show some underlaying property of the numerical data belong to each quarter. Specifcally, we can show thatthere seems to exist different study habits, causing different clusters of data. The PCA is performed upon the high dimensional vector where subjects not within an given quarter are zero-padded (this will make capturing different quarter quite easy).

Each quarter's cluster are very distinct, showing that PC1 captures study behavior shifts smoothly across the academic calendar (however this is trivial due to the way of encoding). On the y-axis, each quarter cluster also exhibit three different "bumps", suggesting PC2 likely captures short-term structure (i.e. how study time is distributed across weeks and weekdays). This is non-trivial and reveals structured variation within each quarter, indicating multiple internally consistent study regimes. This can also be seen from the TSNE plot.